


RD1009
Elevate your driving experience with the RacingDiffs All-Solution LSD Unit for BMW 215K/L—a fully forged differential designed for enthusiasts who demand maximum performance and reliability. Forged internals and housing deliver extreme strength and longevity, ensuring peak efficiency under all conditions—even on 1000+ hp builds.
| Differential types | BMW 215K / 215L (2.81 ratio and shorter) |
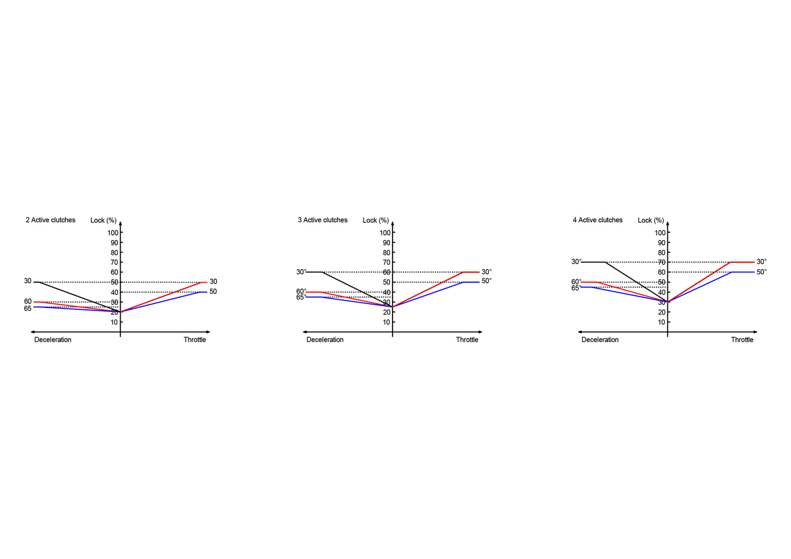
| Ramp options | 30/30 (2-way), 30/60 (1.5-way), 50/65 (smooth lock) |
| Clutch pack | 4 × molybdenum-ceramics plates (Lifetime Warranty) |
| Oil recommendation | Ravenol Racing 75W-140 (or equivalent) |
| Backlash target | 0.08–0.12 mm on most BMW ring-and-pinion sets |
*If your exact year/market is not listed, contact us to confirm 215K/L compatibility (2.81 and shorter ratios).
*Due to continued product improvement, the product illustrated in photos may vary slightly from the actual product.