Apparel
Accessories
  • Try our new Cork Yoga Brick for soft but solid support

  • Check out our full lineup of yoga accessories to help you with your daily meditation practice and fitness goals...

  • Shop
  • Mega menu

  • Time to get excited about our new collection for Men!

  • tetasidjaslkihsdlkjfhsdf gjkhsdfgjklsdhfgjkl shdfgjklhsdfgjkl hsdfjklg hsdfkjlg hsdfjklg hsdfjkl ghsdfjkl ghsdfjklgh

  • BMW 210mm (Large case) LSD | Clutch-type, Fully adjustable

    RD1003

    Experience Ultimate Driving Performance with the BMW 210mm Limited Slip Differential Unit

    Elevate the performance of your BMW to unprecedented levels with RacingDiffs' BMW 210mm Limited Slip Differential (LSD) Unit. This unit is the epitome of engineering excellence, designed for those who accept nothing but the best. Whether you're pushing the limits on the track or seeking enhanced driving dynamics on the road, our fully forged, adjustable LSD unit is your key to unlocking unparalleled performance and durability.

    Built with Unmatched Strength: The BMW 210mm LSD Unit is crafted from the highest quality forged materials for both its internals and housing, offering unmatched strength and longevity. This ensures that your vehicle is equipped to handle the rigors of any driving situation with reliability and confidence, even if you are running on over 1000 horses.

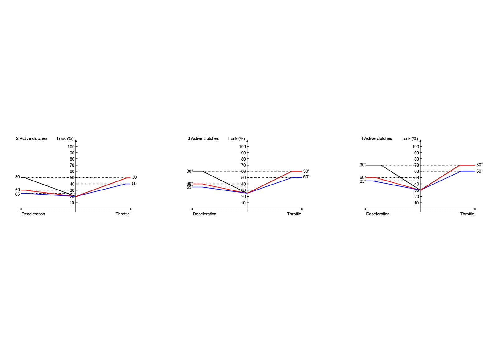
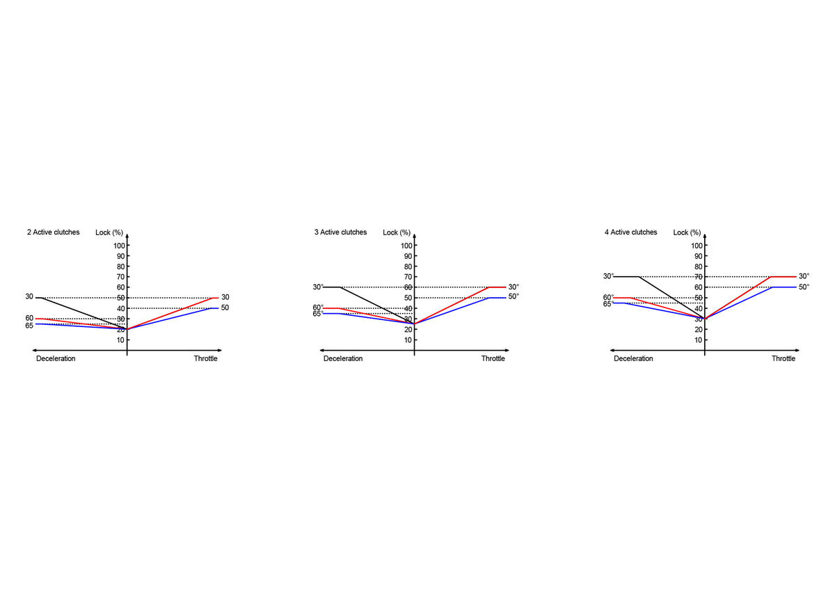
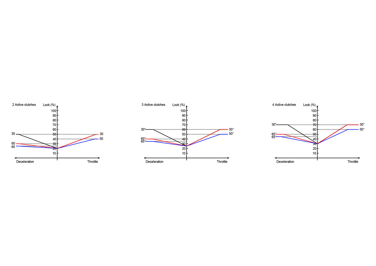
    Tailored Performance for Every Drive: Adaptability is at the core of the All-solution LSD unit for BMW 210mm, with three customizable ramp angle settings to suit your specific driving style and needs:

    • 30/30 Setting: An aggressive 2-way configuration, perfect for the demands of professional drifting.
    • 30/60 Setting: A 1.5-way setup that balances versatility for motorsports, including hill climbing, rallying, and circuit racing.
    • 50/65 Setting: Designed for a smoother lock, ideal for combining daily driving comfort with the excitement of occasional track days.

    Revolutionary Clutch Plates – Lifetime Warranty Included: Our All-solution LSD unit comes equipped with four cutting-edge Molybdenum-ceramics clutch plates, ensuring sustained peak performance under all conditions. We are so confident in the durability of our product that we offer a Lifetime Warranty on these clutch plates.

    Silent Operation, Optimal Performance: Thanks to its optimal preload and compatibility with high-quality LSD oil like Motul Gear Competition 75w140, the BMW 210mm LSD Unit operates without any unwanted noise or vibrations, ensuring a smooth and enjoyable driving experience.

    Seamlessly Fits BMW Models with 210mm Differential: Engineered specifically for BMW vehicles equipped with a 210mm differential, this LSD unit provides a flawless fit and easy installation, significantly enhancing your vehicle's traction, handling, and overall performance.

    Fitment list:

    • E36: 3.2 M3
    • E28: M5, M535i
    • E34: 540i, M5 3.6, M5 3.8
    • E39 M5 S62
    • E24: M635csi
    • E32: 740i, 750i
    • E38: 740i, 750i (prefacelift)
    • E31: 840i, 850Ci, 850CSi
    • Z8: S62

    Discover the difference with the BMW 210mm Limited Slip Differential Unit from RacingDiffs. Transform your vehicle with an upgrade that redefines performance, durability, and driver satisfaction.

    Installation Note – Setting Backlash & Gear Contact

    To finish the swap you’ll need the correct carrier-adjustment shims.
    These shims let you:

    • Dial-in factory backlash (0.08 – 0.12 mm on most BMW ring-and-pinion sets)
    • Center the ring gear for a perfect gear-contact pattern
    • Eliminate whine, premature wear and heat build-up

    TIP: We stock complete shim/C-clip packs in 0.1 mm increments so you can fine-tune preload and backlash without hunting for OEM spacers.

    Watch before you wrench: Our 8-minute installation video walks you through pressing bearings, measuring backlash with a dial indicator, selecting shims, and checking contact with marking compound.

    *Due to continued product improvement, the product illustrated on the photo may vary slightly from the actual product.